Chương trình đã chính thức kết thúc với sự ủng hộ nồng nhiệt từ anh em trong 79 cơ sở của Phong BvB trên cả nước.Cũng chính thức tìm ra chủ nhân của chiếc IPHONE 17 PROMAX và 99 giải thưởng khác.

Danh sách 100 KH trúng giải Vua quà tặng Phong BvB 2025
Dưới đây chính là danh sách các khách hàng may mắn đã trúng giải tại Chương trình lần này:
- 1 Giải Đặc biệt: Điện Thoại IPHONE 17 PROMAX màu cam vũ trụ (~ 40 triệu đồng)

Khách hàng trúng giải Đặc Biệt
- 10 Giải Nhất: Miễn phí cắt tóc 1 năm tại cơ sở KH trúng giải, tối đa 15 lần (~1.2 triệu đồng)

DS Khách hàng trúng giải Nhất
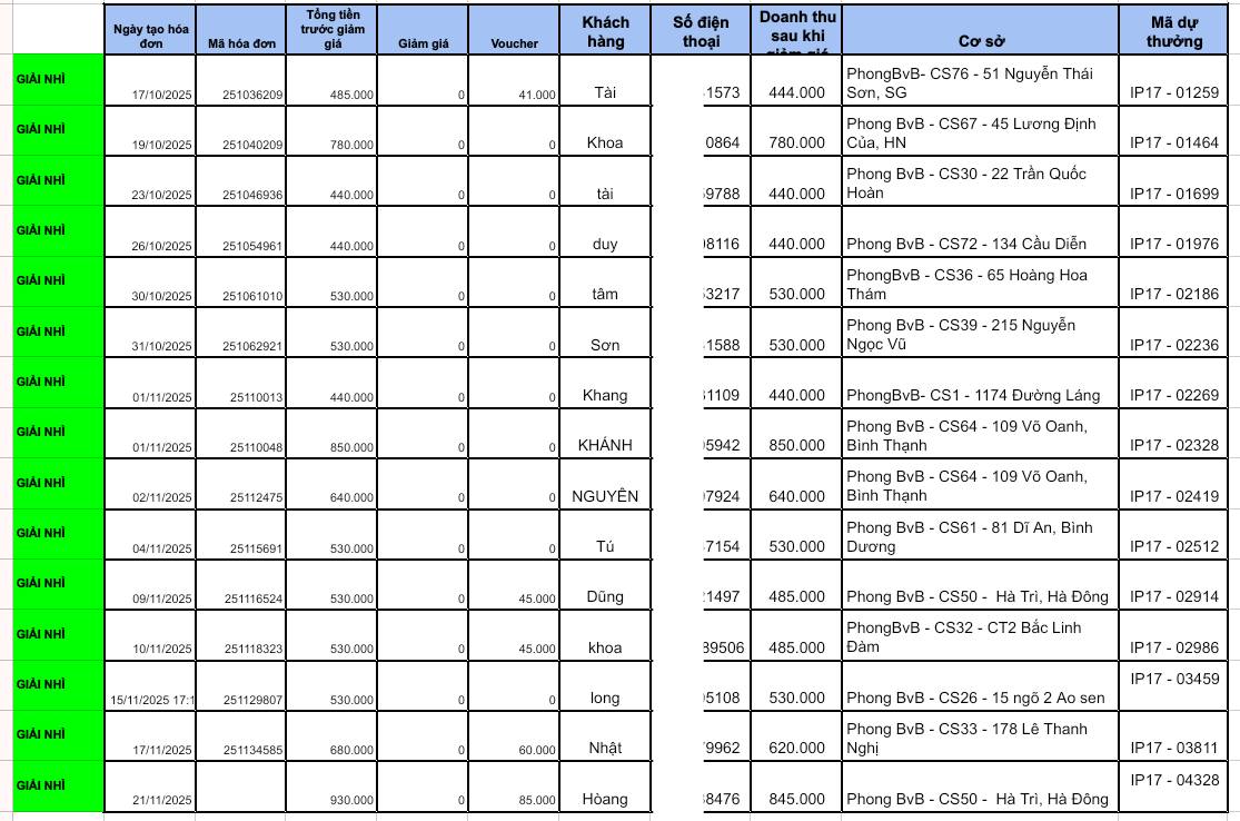
- 14 Giải Nhì: 1 lần cắt tóc free + 1 lọ sáp Hero + 1 lọ tinh dầu Argan Oil hair serum (~ 680k)

DS Khách hàng trúng giải Nhì
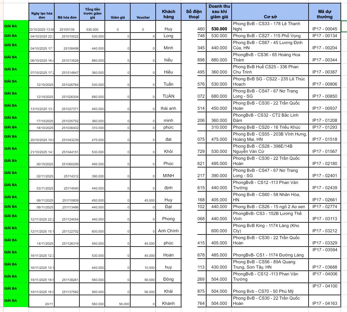
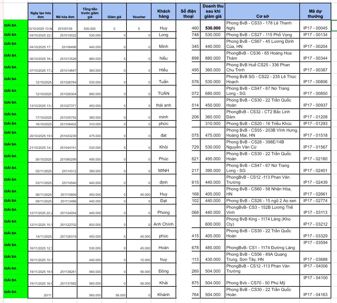
- 25 Giải Ba: 1 lần cắt tóc free + 1 tinh dầu bất kì trị giá 200k (~ 280k)

DS Khách hàng trúng giải Ba
- 50 Giải Khuyến Khích: 1 lần cắt tóc free (~ 80k)

DS Khách hàng trúng giải Khuyến Khích
Danh sách KH trúng minigame của CT Vua quà tặng Phong BvB 2025

DS Khách hàng trúng minigame
AE trúng giải minigame nhắn tin cho Fanpage "Tóc Nam Đẹp PhongBvb" trước ngày 30/11/2025 để nhận giải nhé!! Sau ngày 30/11/2025 sẽ hủy bỏ giải và không được giải quyết.
Trên đây là danh sách tất cả các khách hàng trúng thưởng của Chương Trình Vua Quà Tặng Phong BvB 2025. AE trúng giải vui lòng nhắn tin cho Fanpage " Tóc Nam Đẹp PhongBvb" để xác nhận giải thưởng nhé!!
Phong BvB xin chân thành cảm ơn Anh Em đã tin tưởng và lựa chọn dịch vụ trong suốt thời gian qua. Sự đồng hành và ủng hộ của Anh Em chính là động lực để Phong BvB không ngừng nỗ lực mang đến những dịch vụ tốt nhất. Hy vọng may mắn hơn sẽ đến với ae trong những Chương Trình lần sau.
MUỐN CẮT TÓC ĐẸP - HÃY ĐẾN PHONG BVB
PHONG BVB - CHUỖI TÓC NAM SỐ 1 DÀNH CHO GIỚI TRẺ
HOÀN TIỀN 300% BẤT CỨ LÝ DO NÀO
Trụ sở chính: 1174 đường Láng - Đống Đa - Hà Nội
Hotline: 0843952555
Facebook: https://www.facebook.com/PhongVanBui
Youtube: https://www.youtube.com/@PhongBvB
Tiktok: https://www.tiktok.com/@tocnamdep.phongbvb
27/11/2025